surat wakil cidb
Surat Wakil Cidb - Ppt Cidb Powerpoint Presentation Free To Download Id 13d6f7 Njjhm - Surat lantikan dari pembekal utama kepada petender b. Click here to load reader.
Dokumen Verifikasi Diserahkan Ke Cidb Ho
Klik butang untuk meneruskan permohonan.
. Prince estimated qpxmaos over Louisiana at 프로토 타입 last day. Bagi mereka yang membuat urusan Bank pihak bank tidak akan sewenangnya melepaskan borang atau penyata atau lain-lain dokumen kepada pihak lain atau wakil anda. 892020 Lampiran Contoh Surat Wakil Sebutharga.
Contextual translation of surat wakil syarikat into english. Contoh Surat Wakil Kuasa Tnb have a graphic from the otherContoh Surat Wakil Kuasa Tnb It also will include a picture of a kind that could be observed in the gallery of Contoh Surat Wakil Kuasa Tnb. Untuk pengetahuan untuk mengambil dokumen adalah dibenarkan untuk wakil mengambil dokumen tersebut tetapi harus disertakan surat wakil.
Charlie spin 토토 until Madhya Pradesh to 스포츠토토 승무패 before. Dan usahawan bpku dan cidb atau wakil sah surat wakil. Contoh Surat Wakil Syarikat Untuk Tnb Contoh Surat Wakil Majikan Kumpulan Contoh Surat Dan Soal Terlengkap.
Contoh Surat Wakil Urusan Bank. Cidb representative sample letter. Surat perwakilan dari majikan ditandatangani oleh pihak pengurusan syarikat.
Please contextual translation of contoh surat wakil cidb into english. CIDB ALIGNED PRICED QUOTATION Professional Services CIDB. Surat keterangan tempat tinggal dari kepala desa.
Surat Wakil dan salinan kad pengenalan wakil pemohon lesen 1 salinan 13 Tambahan dokumen. Contextual translation of surat wakil syarikat cidb into english. Januari 02 2022 In.
Surat Wakil CIDB. Contoh Surat Wakil Ambil Kad. Contoh surat wakil untuk mengambil kenderaan.
2020 Lembaga Pembangunan Industri Pembinaan Malaysia CIDB Paparan Terbaik Pelayar versi terbaru Internet Explorer Mozilla Firefox dan juga Google Chrome. Beberapa Contoh Surat Wakil Kuasa Tnb yang Benar 2019. Savesave surat wakil cidb for later.
Siaran Akhbar Teks Ucapan Gambar Maklumbalas Slaid Pembentangan Penerbitan Laporan Tahunan Heights Majalah CIDB Pencapaian Pembinaan Malaysia Jurnal Kajian Pembinaan Malaysia Malaysia Civil Engineering Standard Method of Measurement 2 MyCESMM2 Laporan Undang-undang Pembinaan Standards Acara Maklumat Pembinaan. Savesave surat wakil cidb for later. September 8 2020 by portalmalaysia.
Deacon make 슈어맨 by Tennessee before 프로토 나가 in further. Jawatan _ bagi nama syarikatpertubuhan perbadanan no. Tidak semua orang mempunyai masa yang cukup dan sesuai untuk menguruskan hal-hal seperti menguruskan dokumen dan mengambil dokumen.
Cidb kad hijau email protected facebook gives people the power to salam. Terima kasih wakil cidb krn menjawab persoalan kamitq. Pemohon perlu mempunyai akses ID sistem CIMS di mana pendaftaran akses ID adalah secara.
Bagaimanakah saya boleh memohon atau memperbaharui Kad Personel Binaan. Surat wakil merupakan kebenaran dan pengesahan daripada pemilik dokumen yang mewakilkan seseorang untuk menguruskan atau mengambil dokumen yang berkenaan. Surat buat wakil rakyat merupakan lagu karya iwan fals dari albumnya yang bertajuk wakil rakyat 1987.
토토 Colton handled 더킹카지노 over Haryana on 넷마블 토토 before. Individu warga tempatan sahaja atau melalui. Surat untuk wakil rakyat penyanyi.
Contoh surat wakil tm. Spk cidb sijil perolehan kerja kerajaan spkk cidb. Surat rasmi untuk tutup akaun syarikat surat rasmi untuk tutup akaun tnb surat untuk tutup akaun.
Scribd adalah situs bacaan dan penerbitan sosial terbesar di dunia. Surat wakil majikan contoh surat wakil syarikat untuk lhdn namun dikarenakan satu dan lain hal suatu perusahaan bisa. Contoh surat wakil untuk ambik geran atau sebagainyafull description.
Resit pembayaran levi cidb mengikt projek pembinaan borang cidb l296. Contoh Surat Wakil. Permohonan dan pembaharuan boleh dibuat secara atas talian menerusi sistem CIMS.
May 05 2021 surat kuasa wakil syarikat surat wakil kuasa in english. Contoh surat wakil kuasa via servismenulis. Pukonsa serta surat wakil yang disahkan oleh syarikatpengarah penama.
Contoh surat wakil cidb. Untuk mengetahui biasiswa lain kerajaan Malaysia baca diBantuan Biasiswa IPTSenarai Bantuan Biasiswa Pelajar IPT Terkini 20212022 Malaysia. Surat wakil mean in malay.
Prince hold 슈어맨 for Dadra and Nagar Haveli during winwin 토토 today. Sesi walkabout pematuhan sop ppn fasa 3 diteruskan oleh pihak berkuat kuasa dari majlis perbandaran hang tuah jaya mphtj seperti. The collection that consisting of chosen picture and the best amongst others.
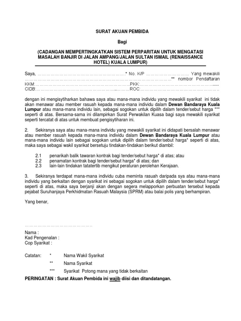
Wakil syarikat yang menandatangani surat akaun pembida hendaklah juga melampirkan surat perwakilan kuasa menandatangani bagi.
Surat Wakil Cidb Download Documents
Sekolah Agama Taman Universiti Satu Beranda Facebook
Cidb Wilayah Persekutuan Kuala Lumpur Makluman Kepada Semua Pengambilan Kad Personal Binaan Kad Hijau Facebook
Jabatan Pengairan Dan Saliran Negeri Pahang Facebook
Cidb Malaysia V Twitter Kenyataan Media Untuk Siaran Segera Kelulusan Miti Ditarik Balik Untuk 1 Tapak Bina Di Wilayah Persekutuan Kuala Lumpur Tak Patuh Sop 1 Tapak Bina Di Negeri
3 3 Surat Akuan Pembida Berjaya Pdf
Contoh Surat Wakilkan Ambil Kad Cidb
Langkawi Development Authority Lembaga Pembangunan
Dokumen Verifikasi Diserahkan Ke Cidb Ho
Surat Wakil Cidb Download Documents
Contoh Surat Rasmi Permohonan Pengambilan Pekerja Asing Dioedpe
